Menjelaskan Implikasi Letak Indonesia Secara Geologis - Potensi lokasi Indonesia secara geologis. Dangkalan sunda dangkalan sahul dan daerah antara dangkalan sunda dan dangkalan sahul.
Menjelaskan Implikasi Letak Indonesia Secara Geologis Brainly Co Id
316 Menjelaskan implikasi letak Indonesia secara geologis.

Menjelaskan implikasi letak indonesia secara geologis. Hal yang perlu diwaspadai dengan letak geologis Indonesia adalah ancaman bencana alam seperti gempa bumi gunung meletus tanah longsor banjir hingga tsunami. Secara umum lokasi dan letak suatu negara atau wilayah Indonesia bisa dilihat dari 3 aspek yakni letak geografis Indonesia letak astronomis Indonesia dan letak geologis Indonesia. Menurut letak geografisnya.
Secara geologis Indonesia berada di antara pegunungan besar dan berada di antara beberapa daerah dangkalan yang menjadi titik pertemuan beberapa lempeng litosfer di dunia. Secara strategis Indonesia berada di tengah jalur. Letak Geografis dan Geologis Indonesia.
Mengutip Kemdikbud RI Letak geologis adalah letak suatu wilayah berdasarkan keadaan geologinya. Kali ini akan dibahas khusus mengenai. Dengan kata lain komponen di dalam pembentukan muka bumi.
Indonesia secara geografis terletak di antara dua benua yaitu Benua Asia dan Benua Australia-Oseania. Letak Geologis Indonesia adalah letak wilayah Indonesia berdasarkan berdasarkan susunan bebatuan yang ada dipermukaan bumi Indonesia. Letak Geologis Indonesia dan Pengaruhnya Bagi Kehidupan.
3112 Menjelaskan implikasi letak Indonesia secara geologis. Indonesia berada di jalur pertemuan tiga lempeng yaitu lempeng Eurasia lempeng Pasifik dan Lempeng Hindia. Sementara itu letak geologis Indonesia berada di antara dua daratan pegunungan muda seperti Sirkum Mediterania dan Pasifik.
Melansir Kemdikbudgoid keuntungan posisi Indonesia juga dapat dilihat secara geologis. 3113 Menjelaskan implikasi letak Indonesia secara geologis. Letak Geologis Indonesia sebagai berikut.
3111 Menjelaskan implikasi letak Indonesia secara sosial dan budaya. Kemudian di samudera terletak di antara Samudera Hindia dan Samudera Pasifik. Indonesia berada pada jalur pertemuan tiga lempeng yaitu Lempeng.
Jawaban Tema 8 kelas 3 Halaman 55. Selain hal-hal positif di atas dengan letak geologis Indonesia juga memiliki hal-hal negatif yang perlu diwaspadai. Apa Saja Nama-nama Kelengkapan Seragam Pramuka.
Indonesia merupakan bagian dari dua buah rangkaian pegunungan besar di dunia yaitu rangkaian Pegunungan Mediteran dan rangkaian Pegunungan Sirkum Pasifik. 412 Keterampilan melaksanakan diskusi tentang letak. Hari ini pertanyaan yang dijawab adalah apa implikasi letak Indonesia terhadap aspek geologis.
413 Membuat sketsa peta Indonesia. 318 Menyebutkan letak Indonesia secara astronomis. Letak Geologis Indonesia.
Indonesia juga diapit oleh dua samudera yaitu Samudera Hindia dan Samudera Pasifik. 319 Menyebutkan letak Indonesia secara geografis. Menurut letak geografisnya Indonesia terletak diantara 2 benua yakni benua Asia dan Australia serta diantara 2 samudera yakni Samudera Hindia dan Pasifik.
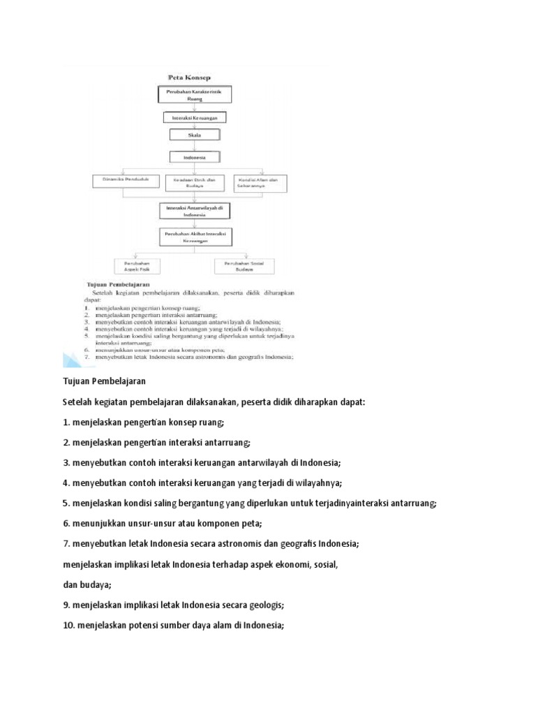
Adapun kondisi letak geologis Indonesia adalah sebagai berikut. Letak geologis suatu negara adalah letak negara tersebut berdasarkan keadaan bebatuan yang ada didalam perut bumi. Menyajikan hasil telaah konsep ruang konsep ruang lokasi distribusi potensi iklim bentuk muka bumi geologis flora dan fauna dan interaksi antarruang di Indonesia serta pengaruhnya terhadap kehidupan manusia dalam aspek ekonomi sosial budaya dan pendidikan.
317 Menunjukkan unsur-unsur atau komponen peta. Menjelaskan implikasi letak Indonesia secara geologis. Daerah Indonesia bagian barat dilalui oleh deretan Pegunungan Muda Mediterania yang merupakan rangkaian dari Pegunungan Himalaya dengan sifat basa.
- Indonesia dengan lapisan bebatuan yang ada didalamnya sangat berkaitang erat dengan sistem pegunungan Indonesia. 41 Menyajikan hasil analisis tentang interaksi sosial dalam ruang dan pengaruhnya terhadap kehidupan sosial ekonomidan budaya dalam nilai dan norma serta kelembagaan social budaya. Indonesia terletak pada tiga daerah dangkalan yaitu.
Indonesia adalah salah satu negara dengan letak yang strategis. 411 Membuat sketsa peta Indonesia. Indonesia dilewati oleh dua pegunungan besar di dunia yakni rangkaian Sirkum Meditrania dan Sirkum Pasifik.
Berikut dibawah ini penjelasan letak geologis Indonesia. Secara geologis Indonesia adalah negara yang terletak di antara beberapa lempengan bumi dan beberapa dangkalan lautHal ini menyebabkan kondisi geografis Indonesia berbeda-beda di tiap wilayahnya. Letak geologis didefinisikan sebagai letak suatu daerah berdasarkan struktur dan komposisi bantuan yang membentuk muka bumi.
3110 Menjelaskan implikasi letak Indonesia terhadap aspek ekonomi. Letak Geografis Indonesia Definisi Pengaruh Akibat GuruPendidikanCom Dalam hal ini letak geografis ialah letak suatu negara dilihat dari kenyataan di permukaan bumi. Secara geografis Indonesia berada di antara dua benua yakni Benua Asia dan Benua Australia.
315 Menjelaskan implikasi letak Indonesia secara sosial dan budaya. Letak Indonesia yang diapit oleh 2 benua dan berada di antara 2 samudera ini berpengaruh besar terhadap keadaan alam maupun kehidupan penduduknya.
Menjelaskan Implikasi Letak Indonesia Secara Geologis Brainly Co Id
Apa Implikasi Letak Indonesia Terhadap Aspek Geologis Tribun Padang
Https Files1 Simpkb Id Guruberbagi Rpp 40828 1597920396 Pdf
Implikasi Letak Indonesia Terhadap Aspek Ekonomi Sosial Dan Budaya Goreng
Menjelaskan Implikasi Letak Indonesia Secara Geologis Kami
Sebutkan Implikasi Letak Geologis Indonesia Brainly Co Id
Lkpd Ips 1 2 Worksheet
Menjelaskan Implikasi Letak Indonesia Secara Geologis Kami
Menjelaskan Implikasi Letak Indonesia Secara Geologis Kami
Tenaga Endogen Interactive Worksheet
Https Files1 Simpkb Id Guruberbagi Rpp 40828 1597920396 Pdf
Jelaskan Implikasi Letak Indonesia Secara Geologis
Letak Dan Luas Indonesia Pdf
Materi Ips Kelas 7 Bab 1 A Pengertian Ruang Dan Interaksi Antarruang







